唔知係咪強國啲奶粉添加特別多嘅營養,搞到啲小學雞都寧舍早熟,小學二年班啫,就學人寫埋啲情書嚟媾女!毛毛仲係小學雞嗰陣,都唔知咩叫做愛呀!
.jpg)
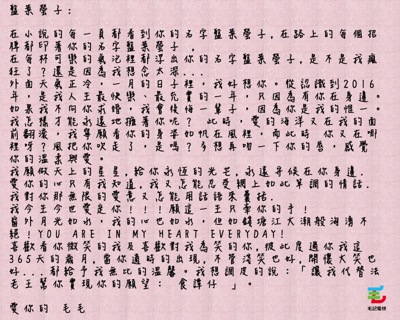
嘩!咁鬼肉麻嘅嘢都寫得出?「我知道我學習不好,但是我長的帥呀......」,帥?邊度帥呀?睇過?傾計冇圖冇計傾喎~仲話「希望20年後,陪在我身邊的那個老太婆還是你」?,喂,老老竇竇,廿年後咪最多廿七八歲,頂多都係中女啫,咁就叫人做老太婆,毛毛係女都唔騷你啦~
其實,小二嘅作文嚟講都算高汁㗎喇~不過寫情書呢家嘢,使咩自己寫㗎,用情書產生器就得啦!

你睇下有幾多成功的例子,等毛毛都試下先~ 打晒啲資料入去再copy and paste就得喇!

希望盤菜見到會接受毛毛嘅愛意啦!I am 隨時ready㗎,call 我啦!
封面圖片來源:央廣網
資料及圖片來源:央廣網、情書產生器